Das Warteschlangenmodell","")?> Motivation")?>

Das CA-Modell beschreibt den Verkehrsfluß sehr detailliert und ist darüberhinaus sehr schnell. Trotzdem kann es sinnvoll sein, ein alternatives Verkehrsmodell zu verwenden. Die Verwendung unseres Warteschlangenmodells ist dann zweckmäßg, wenn es nicht so sehr auf die Detailtreue als vielmehr auf noch höhere Geschwindigkeit ankommt. Wir verwenden das Warteschlangenmodell deshalb in unserer Software FASTLANE, die durch iterative Simulationen das dynamische Benutzergleichgewicht (d.h. die optimalen Routen) bestimmt. Bis zum Erreichen dieses Gleichgewichts sind einige Iterationen notwendig (z.B. 35 für Wuppertal). Eine Iteration des Verkehrs eines Tages in Wuppertal mit dem CA-Modell dauert ca. neun Stunden, mit dem Warteschlangenmodell verkürzt sich diese Zeit um den Faktor 8,6. Ein sinnvolles Vorgehen sieht also folgendermaßen aus:

  1. Berechnung des dynamischen Benutzergleichgewichtes mit dem Warteschlangenmodell und
  2. Verwendung dieser Daten als Input für detailliertere Simulationen mit dem CA-Modell.


Das Modell")?>

Im Warteschlangenmodell wird jeder Straßenabschnitt durch eine Warteschlange repräsentiert und durch die Größen

beschrieben.

Erreicht ein Fahrzeug einen neuen Straßenabschnitt, so wird seine Fahrzeit ttravel auf diesem Abschnitt berechnet. Dabei gehen die Länge, der Zustand (Fahrzeuganzahl n ) des Abschnitts und die gewünschte Geschwindigkeit v0 des Fahrzeugs ein. Dann wird das Fahrzeug mit der errechneten Ankunftszeit (am Ende des Abschnitts) der Warteschlange übergeben. Obwohl jede funktionale Relation zwischen Dichte und Geschwindigkeit spezifiziert werden kann, hat die Kalibrierung bei homogenen Fahrzeug-Flotten ergeben, daß der Ansatz ttravel = l / v0 zu Fahrzeiten führt, die nur um fünf Prozent von denen des CA-Modells abweichen.

Übersteigt die Anzahl der Fahrzeuge, die auf einen Abschnitt wechseln wollen, die Kapazität (den maximalen Fluß), so wird den Zufahrten gemäß ihrer Priorität anteilmäßig Kapazität zugewiesen.

Kalibrierung")?>

Obwohl die Hauptaufgabe des Warteschlangenmodells darin liegt, optimale Routen zu berechnen, sollten die errechneten Fahrzeiten eine gute Näherung für die Fahrzeiten eines detaillierten Fahrzeugfolgemodells sein. Im folgenden zeigen wir, daß die Parameter des Warteschlangenmodells so gewählt werden können, daß die Fahrzeiten des CA-Modells reproduziert werden, sogar in Situationen mit nichttrivialer zeitabhängiger Warteschlangenlänge.

Wir kalibrieren das Warteschlangenmodell am CA-Modell mit einem Bottleneck (hier: Spurverringerung von zwei auf eine Spur) als Straßennetz. Im CA-Modell betrugen die Zellenlänge 7,5m , ein Zeitschritt 1s , die maximale Geschwindigkeit Vmax = 5·7,5m/s und die Bremswahrscheinlichkeit Pbrake = 0,2. Wir verwendeten 30s als Zeitschritt im Warteschlangenmodell und modellierten die Kapazität des Bottlenecks mit einer Normalverteilung. Die Parameter wählten wir anhand der Ergebnisse aus der CA-Simulation.
Der Bottleneck-Zufluß wurde periodisch variiert, um die typische Struktur von zwei Hauptverkehrszeiten zu modellieren. Die Parameter wurden so gewählt, daß sich der Verkehrsfluß zwischen den Stoßzeiten nicht auflöste. Die folgende Abbildung zeigt den periodischen Zufluß und die daraus resultierenden Flüsse des CA- und des Warteschlangenmodells aus dem Bottleneck in Abhängigkeit von der Zeit.

Fluß/Zeit

Vergleich CA / Warteschlange: Zu- und Abfluß in Abhängigkeit von der Zeit

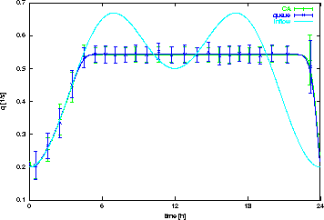
In der nächsten Abbildung vergleichen wir die Reisezeiten des CA- und des Warteschlangen-Modells in Abhängigkeit von der Fahrzeuganzahl im System. Man sieht, daß sogar die Schleifenstruktur, die aus der Verkürzung der Warteschlange um die Mittagszeit resultiert, vom Warteschlangenmodell reproduziert wird.

Fahrzeit/Fahrzeuganzahl

Vergleich CA / Warteschlange: Fahrzeit in Abhängigkeit von der Fahrzeuganzahl



Performance")?>

In der folgenden Tabelle vergleichen wir die CPU-Zeiten des Warteschlangenmodells mit denen des CA-Modells in unterschiedlichen Straßennetzwerken. Alle Simulationen wurden auf einem 166MHz UltraSPARC Prozessor durchgeführt.

Netzwerk Bottleneck Wuppertal NRW-Autobahnen
LINKs 2 16.769 990
NODEs 3 9.098 487
Fahrten 43.000 3,5·105 4,3·106
durchschnittliche
LINK-Länge [km]
0,4 0,3 2,4
CPU-Zeit
CA [s]
430 32.000 47.780
CPU-Zeit
Warteschlange [s]
3 3.700 559
Faktor
Warteschlange/CA
143 8,6 85

Je nach Implementierung wächst die Rechenzeit für einen einzelnen Straßenabschnitt im CA-Model linear entweder mit der Länge l des Abschnitts oder der Fahrzeuganzahl n auf dem Abschnitt. Die Rechenzeit im Warteschlangenmodell setzt sich zusammen aus einem Teil, der nur vom Verkehrsfluß und nicht von der Länge des Abschnitts abhängig ist (es wird ja nur für jedes Fahrzeug einmal die Ankunftzeiten berechnet) und der Zeit, die benötigt wird, um die Fahrzeuge in die Warteschlange einzufügen. Der Zeitbedarf dieser Operationen wächst logarithmisch mit der Anzahl der Fahrzeuge.


Mehr Verkehr")?>

Um detailliertere Informationen über unsere Verkehrssimulationen zu erhalten klicken Sie:

Motivation, Forschungspartner.

Verkehrsprojekte.

Verwendete Modelle,

Software,

Literatur und Links.


Kontakt:

")?> traffic@zpr.uni-koeln.de